課題1 フリースペースにおけるエンベロープ方程式

フリースペース上で、transverse、longitudinal方向共にuniformな円柱型の電子ビームをトラッキングします。

1. 初期条件

・電荷量
1nC/bunch
・パルス幅
3mm  200mm  uniform  それぞれ、RF電子銃とSCSSに対応しています。
・ビームサイズ
φ1mm  table top
・ビームエネルギー
0.5MeV 1MeV 3MeV  6MeV  (全ての粒子に同一のエネルギーを与える)
・トラッキング距離
1m。ただし、メッシュサイズ等で難しい場合は、出来るところまで。
・計算するのは上記8通り

・初期粒子数
2Dコード、3Dコードで必要粒子数が異なるので、特に基準は設けませ ん。適当と考えられる粒子数で計算し、結果と共に報告してください。なお、水野のコード(3D)では5000個で計算を行いました。
・初期粒子分布
乱数か、順序良く並べるかは問わないが、結果と共に報告してください。


2. ベンチマーク要領 

  上記をトラッキングし
の各時間発展を、2007年1月中旬を目処に  mizuno@spring8.or.jp まで報告してください。
なお、初期条件等をコードで実現できない場合はご連絡ください。

3. 計算パラメータの定義について

  異なるコード間で結果を比較する際、パラメータの定義は重要です。以下に定義を示しますから、配慮して計算して下さい。



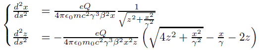
4. エンベロープ方程式

ただし、xがビーム半径、zがビームパルス幅の1/2。なお、エンベロープ方程式で は、ΔE、およびエミッタンスは計算できません。

エンベロープ方程式資料(tentative) 資料中の(28)式を用いている。


5. エンベロープ方程式 での計算結果(グラフ)
 方程式はビームエンベロープを計算するので、結果としてビームサイズの全幅が得られ ます。グラフには、その全幅を示していますので、3.項ビーム半径、およびパルス幅を参考に して各自のビームサイズと比較して下さい。
 なお、グラフ中の横軸は、ビームパルスの中心に対してプロットしています。また、連立微分方程式は、octaveを 用いて数値的に解いています。

エンベロープ方程式の計算結果(数値データ) 計算結果の数値データです。各自の計算と比較する際に使用してください。(2007.01.24)


6. 各コードの結果(提出順)

・ 水野コード
初期粒子数   :   5000個、ラン ダム
初期粒子分布
ビーム半径
パルス幅
ΔE : 誤っ て、±1σのΔEを記載していましたので、1σのΔEでグラフを作成し直しました。(2007.01.17)
エミッタンス
3mmの場合の、1mトラッキングした時点 でのエネルギープロファイル等 (UPDATE 2008.12.21)
各パラメータと定義

・ 増田氏コード(KUBLAI) (UPDATE 2008.12.21)
初期粒子数 : 8704個、規則正しく並べている
ビーム半径(3mm)
パルス幅(3mm)
ΔE(3mm)
エミッタンス(3mm)
各パラメータと定義

・ PARMELA (菅氏の計算)
初期粒子数 : 5001個、並べ方は各パラメータと定義を参照
計算結果
各パラメータと定義

・ 山本 尚人氏コード
初期粒子数 : 5000個、ランダム
計算結果
各パラメータと定義

・ GPT (山本 昌志氏の計算)
初期粒子数 : 100000個、Quiet Start  (Hammersley's Sequence)
計算結果
各パラメータと定義

・ MAGIC (松本 修二氏の計算)
初期粒子数 :
計算結果の例
readme

7.  各コードの比較
                ・パルス幅3mm での比較 (UPDATE 2008.12.21)
                ・パルス幅200mmでの比較

8.  各検討結果

GPTでのエミッタンスの初期分布(乱数とHammersley's Sequence)および粒子数依存性について(山本昌志)

水野コードでのHammersley's Sequenceによるシミュレーション(水野)
水野コードで、初期分布を乱数で形成したときと、Hammersley's Sequenceで形成した時について比較をおこなった。エミッタンスは、Hammersley's Sequenceを用いた場合が、乱数を用いる場合に比べ明らかに小さな値を示す。

水野コードでの粒子数依存性検討その1(水野)

水野コードでの粒子数依存性検討その2(水野)

山本尚人氏による、粒子数依存性の検討

山本尚人氏による、Hammersley's Sequenceによるシミュレーション

菅氏による、PARMELAでの粒子数依存性の検討