ビーム半径

 Transverse、longitidinal 両方向にuniformで、ビーム半径全幅がRの円柱ビームを考える。このビームを3次元で考え、1σのxを求めるとする。ビームの密度関数は次のよ うになる。


したがって、x2の期待値は、


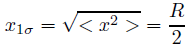
1σのxは次のようになる。




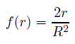
 これに対し、ビームを2次元で考え、1σのrを求めるとする。密度関数は


したがって、r2の期待値は、


1σのrは次のようになる。


このように、定義によってビーム半径は異なりますから、これら定義を参考の上、各自のコードからビーム全幅Rを算出して、Rの時間発展を報告してくださ い。Rが算出できない場合は、ビーム半径の定義を詳しく報告してください。


パルス幅

 ビーム半径と同様に、円柱ビームのパルス幅を考える。円柱ビームの全パルス幅をLと する。ビームの中心をz軸の原点と考えると、ビームの密度関数は次のようになる。


z2の期待値は


±1σの間をパルス幅と定義すれば、以下のような関係が導かれる。


パルス幅についても、上記を参考に各自のコードからパルス全幅Lを算出し、Lの時間発展を報告してください。Lが算出できない場合は、パルス幅の定義を詳 しく報告してください。