エミッタンス

エミッタンスは、ノー マライズドrmsエミッタンスを報告してください。ただし、以下 に注意してください。

rmsエミッタンスとは、普通、

で定義します。xとx'がガウス分布しているときに限り、上式はクーラン・シュナイ ダー不変量に一致します。それ以外のときは、エミッタンスは不変ではありません。


エミッタンスも、3Dのコードと2Dのコードでは定義が異なります。3Dのコードで は、


のように定義するのが一般的と思われますが、2Dのコードでは、

のように定義されるかもしれません。この場合、<r2> の定義がビーム半径の定義と同様であれば、εrは、ほぼεxの 2倍となります。ただし、ソレノイドのような xとyにカップリングを持った外場の中では、εrとεxは別物となるので、注意が必要です。



また、ノーマライズドの方法も様々な定義があります。例えば、


のような定義は、実際に実験で得られるエミッタンスを計算する場合に用いられます。上 式は、


と定義されることがあるかもしれません。

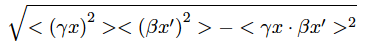
γx−βx'の位相空間での不変量がエミッタンスであるという、ノーマライズドを行う 時の定義を充実に守れば、γとβはルートの中に入って、



のようになります。ただし、この定義のエミッタンスを実際に測定するのは、ΔEが大き いビームに対しては不可能です。

エミッタンスを報告する際は、上記を参考に、各自のコードにおけるエミッタンスの定義 も明確に報告して下さい。