| ・電荷量 |
1nC/bunch |
| ・パルス幅 |
3mm uniform |
| ・ビームサイズ |
φ1mm table top |
| ・電子の初期エネルギー | 0 eV |
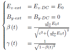
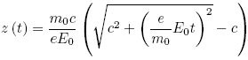
| ・DC電場 |
longitudinal方向を z(m) と定義したとき、 0
<= z <= 0.028
の間にz成分のみを持つuniformなDC電場を与える。電子ビームの初期位置は、バンチ最後部がz=0となるように与える。すなわち、始めから全電子
が電場の影響を受ける状態とする。 |
| ・DC電場強度 |
50.0 MV/m 100.0
MV/m 200.0 MV/m の3通り |
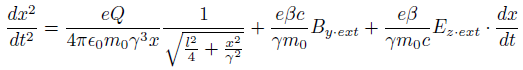
| ・RF電磁場 |
0 <= z <= 0.028
の間に、longitudinal方向成分のみをもち、transverse方向には一様であり、時間的にはcosで振動する電場を与える。電場に伴い、
sinで振動する磁場が発生するが、この磁場はθ方向成分のみをもち、rに比例するとする。電子ビームの初期位置はDC電場の場合と同一とする。電磁場の
詳細は2.項に記す。 |
| ・RF電磁場強度 |
E0
= 100.0 MV/m, 150.0 MV/m, 200.0 MV/m の3通り |
| ・トラッキング距離 |
100mm |
| ・計算するのは上記6通り |
|
| ・粒子数 |
課題1で粒子数不足の状況にあることが明らかとなっていますが、出来る
範囲の粒子数でお願いします。 |
| ・初期粒子分布 |
課題1で行ったとおり、粒子分布については正確にレポートしてくださ
い。 |
| ・計算上の注意 |
カソード鏡像は計算しない。与える電磁場はcavityではないので、
ウェイクフィールドは計算しない。 |

は初期RF位相であり、上記の全ての計算で、
とする。(2008.12.21、55°に変更、85°の条件ではΔEが大きくなるため。)
また、t=0よりスタートする。



